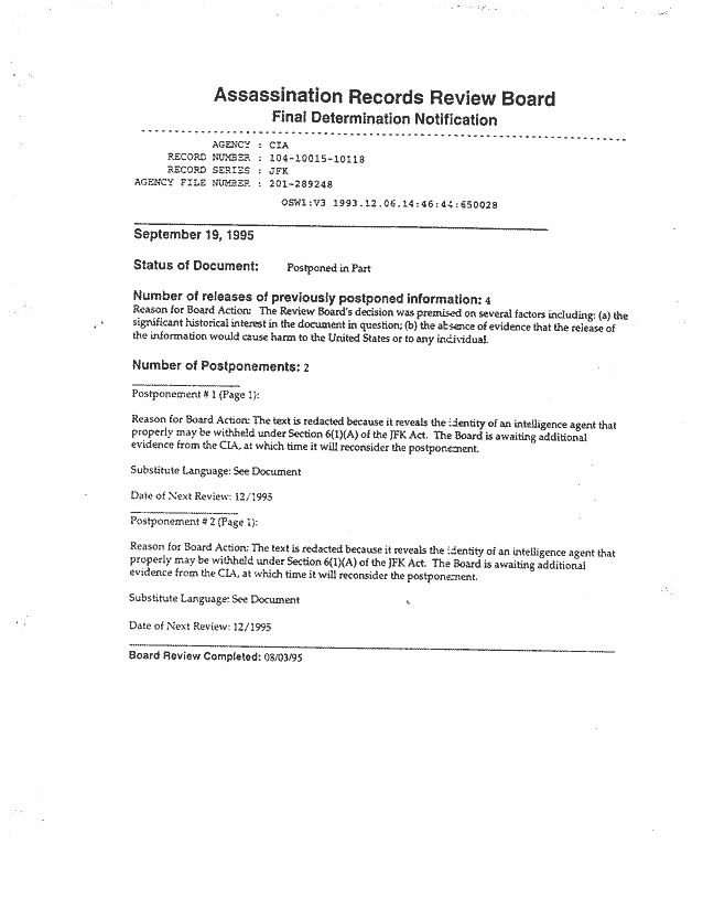
![]() |
|
Return to:   201 File, Nov 22 - Nov 30, 1963 |
|
1  2  3                                   printable page |
| 11-23-63 (DIR 84916) Cable - Arrest of Sylvia Duran |
Page 1 of 3
|
![]() |


