|  | 
| Return to:   ARRB Master Set of Medical Exhibits | 
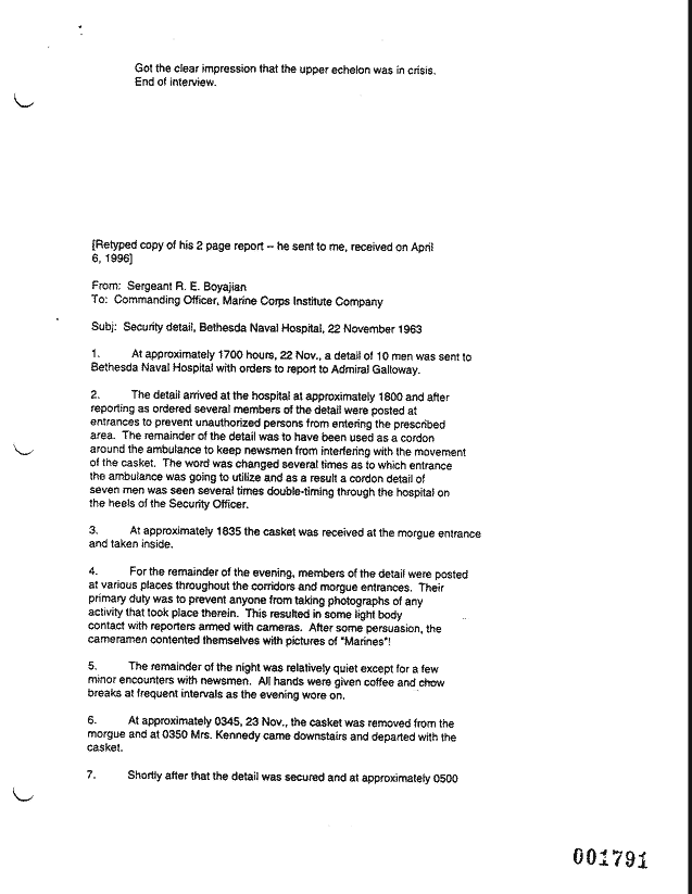
| MD 236 - ARRB Call Report of September 5, 1997 Telephone Interview of Roger Boyajian (Former NCOIC of Marine Security Detail at Autopsy of President Kennedy), With His Contemporaneous After-Action Report Attached | Page 9 of 10 | 
|  | 



