|
Return to:   Volume 6: Federal Bureau of Investigation |
| Volume 6: Federal Bureau of Investigation |
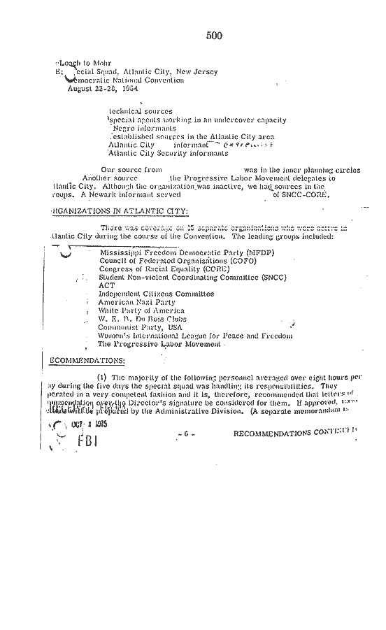
Page 500 of 1010
|
![]() |
|
Return to:   Volume 6: Federal Bureau of Investigation |
| Volume 6: Federal Bureau of Investigation |
Page 500 of 1010
|
![]() |
